Results for the Vrancea event (2022-11-03 04:50:26)
- Method
- Waveform inversion for full moment tensor (6 components)
with the data covariance matrix based on real noise.
- Reference
- Vackář, Gallovič, Burjánek, Zahradník, and Clinton. Bayesian ISOLA: new tool for automated centroid moment tensor inversion, in preparation, PDF
Hypocenter location
- Agency
- RMP
- Origin time
- 2022-11-03 04:50:25
- Latitude
- 45.489° N
- Longitude
- 26.526° E
- Depth
- 149.0 km
- Magnitude
- 5.3
Results
moment tensor best solution
moment tensor uncertainty
DC-part uncertainty
Centroid location
|
absolute |
relative |
| Time |
2022-11-03 04:50:26 |
1.05 s after origin time |
| Latitude |
45.589° N |
11024 m north of the epicenter |
| Longitude |
26.479° E |
3675 m west of the epicenter |
| Depth |
149.0 km |
0.0 km deeper than location |
Moment tensor and its quality
| Centroid position |
| depth | 149.0 km |
| Seismic moment |
| scalar seismic moment M0 | 7.39e+16 Nm |
| moment magnitude Mw | 5.2 |
| Moment tensor components |
| Mrr | 4.84 * 1e+16 |
| Mθθ | 0.31 * 1e+16 |
| Mϕϕ | -4.16 * 1e+16 |
| Mrθ | 0.33 * 1e+16 |
| Mrϕ | 4.91 * 1e+16 |
| Mθϕ | 1.99 * 1e+16 |
| Moment tensor decomposition |
| DC | 90 % |
| CLVD | -6 % |
| ISO | 4 % |
| strike | 140 / 357 |
| dip | 26 / 68 |
| rake | 56 / 105 |
| Quality measures |
| condition number | 4 |
| variance reduction | 68 % |
Histograms—uncertainty of MT parameters
DC-part
CLVD-part
CLVD-part
moment magnitude
Histograms—uncertainty of centroid position and time
centroid depth
position east-west
position north-south
centroid time
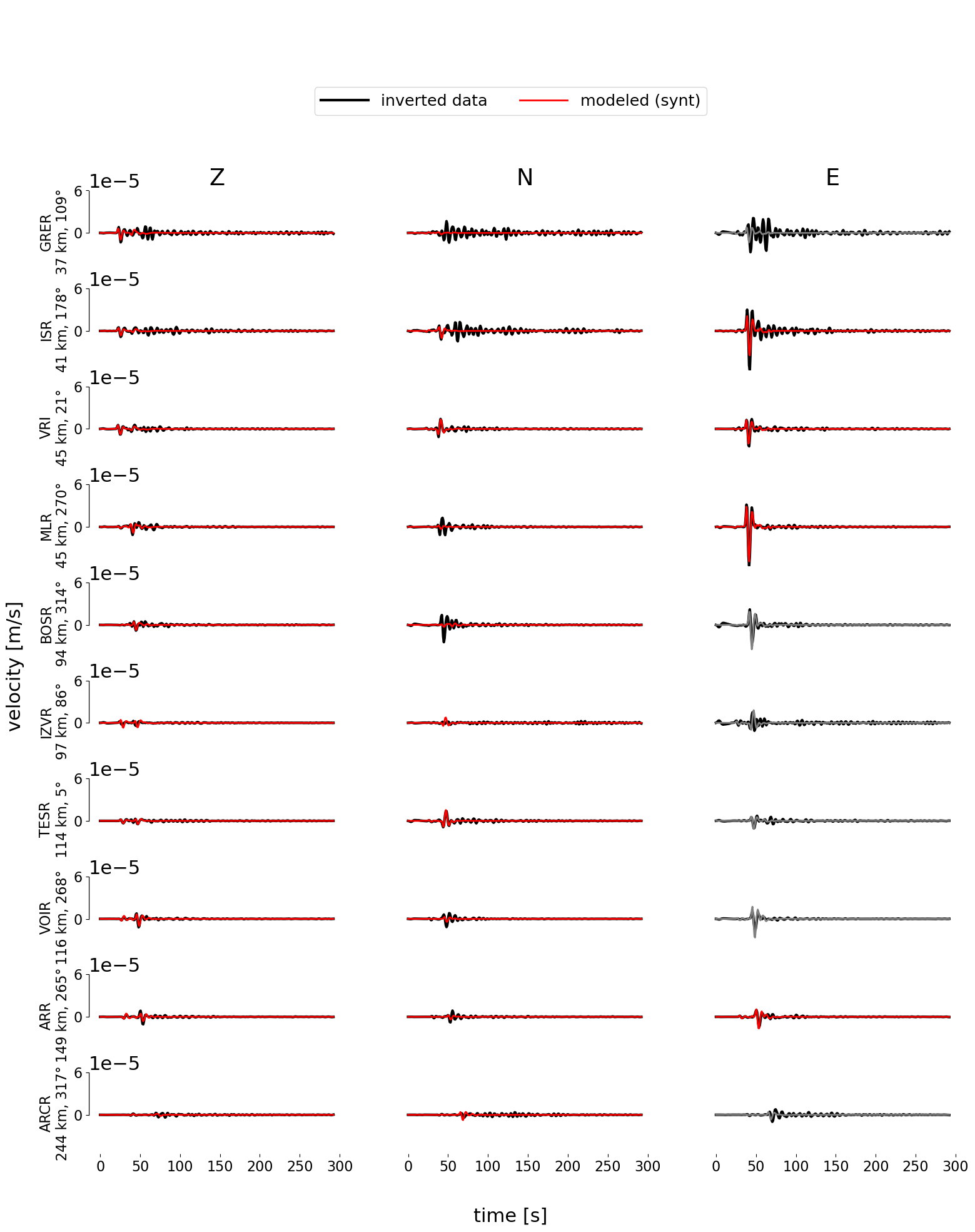
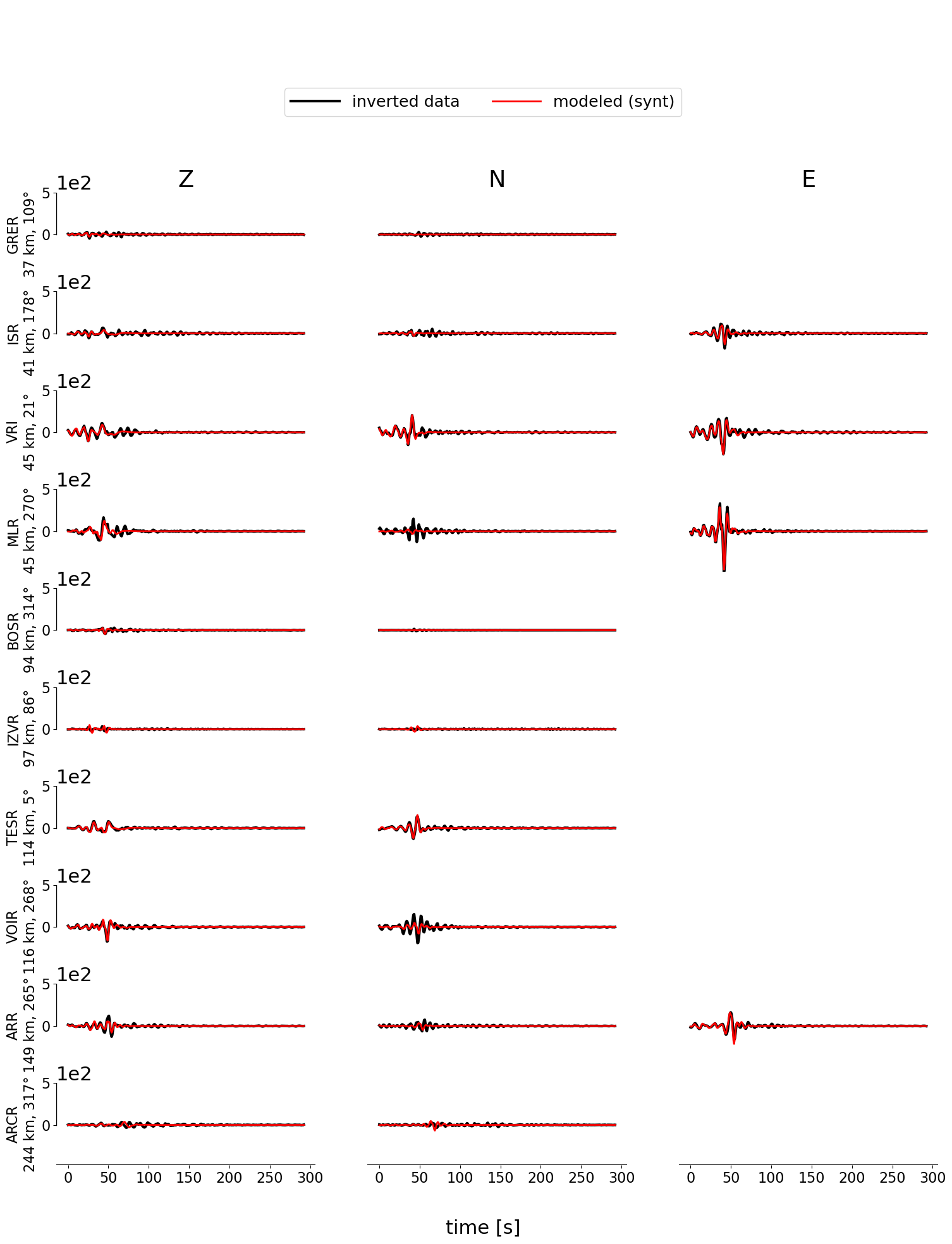
Data used
stations used
Components used in inversion and their weights
| station | component | distance * | azimuth | fmin | fmax |
| code | channel | Z | N | E | (km) | (deg) | (Hz) | (Hz) |
| RO:GRER | HH | 1.0 | 1.0 | --- | 37 | 109 | 0.03 | 0.15 |
| RO:ISR | HH | 1.0 | 1.0 | 1.0 | 41 | 178 | 0.03 | 0.15 |
| RO:VRI | HH | 1.0 | 1.0 | 1.0 | 45 | 21 | 0.03 | 0.15 |
| RO:MLR | HH | 1.0 | 1.0 | 1.0 | 45 | 270 | 0.03 | 0.15 |
| RO:BOSR | HH | 1.0 | 1.0 | --- | 94 | 314 | 0.03 | 0.15 |
| RO:IZVR | HH | 1.0 | 1.0 | --- | 97 | 86 | 0.03 | 0.15 |
| RO:TESR | HH | 1.0 | 1.0 | --- | 114 | 5 | 0.03 | 0.15 |
| RO:VOIR | HH | 1.0 | 1.0 | --- | 116 | 268 | 0.03 | 0.15 |
| RO:ARR | HH | 1.0 | 1.0 | 1.0 | 149 | 265 | 0.03 | 0.15 |
| RO:ARCR | HH | 1.0 | 1.0 | --- | 244 | 317 | 0.03 | 0.15 |
Mouse detection
GRER HHE: MOUSE detected, ignoring component in inversion (time of onset: 31.0 s, amplitude: 3.61e-07 m s^-2, fit: 0.83)
BOSR HHE: MOUSE detected, ignoring component in inversion (time of onset: 35.3 s, amplitude: 4.72e-07 m s^-2, fit: 0.85)
IZVR HHE: MOUSE detected, ignoring component in inversion (time of onset: 35.7 s, amplitude: 1.03e-06 m s^-2, fit: 0.94)
TESR HHE: MOUSE detected, ignoring component in inversion (time of onset: 39.1 s, amplitude: 1.41e-07 m s^-2, fit: 0.83)
VOIR HHE: MOUSE detected, ignoring component in inversion (time of onset: 55.2 s, amplitude: 1.16e-07 m s^-2, fit: 0.82)
ARCR HHE: MOUSE detected, ignoring component in inversion (time of onset: 100.0 s, amplitude: 1.11e-07 m s^-2, fit: 0.85)
Data source
Station coordinates: input/vrancea/2022/nov/network1.stn
Loading data from fdsnws server(s):
http://eida-sc3.infp.ro/fdsnws/
waveform fit
(filtered)
waveform fit
(non-filtered)
waveform spectra
before-event noise
data covariance matrix
Stability and uncertainty of the solution
Posterior probability density function (PPD)
PPD: top view
PPD: north-south view
PPD: west-east view
Stability in space (top view)
Stability in space (side view)
Calculation parameters
Grid-search over space
- number of points
- 483
- horizontal step
- 3675 m
- vertical step
- 3675 m
- grid radius
- 17.706 km
- minimal depth
- 136.294 km
- maximal depth
- 161.706 km
- rupture length (estimated)
- 4.706 km
Grid-search over time
- min
- -4.00 s (-399 samples)
- max
- 8.71 s (871 samples)
- step
- 0.07 s ( 7 samples)
Green's function calculation
- Crustal model
- vel_models/vr_adanci/crustal.dat
- npts
- 512
- tl
- 424.96
- freq
- 257
- npts for inversion
- 353
- source time function
- step in displacement
Sampling frequencies
- Data sampling
- 100.0 Hz
- Common sampling
- 100.0 Hz
- Decimation factor
- 83 x
- Sampling used
- 1.2 Hz